About Us
Service
Tel:021-67652210
Fax:021-67652227
Website:www.dpwshon.cn
Email:marketing@scsprecision.com.cn
Addr.:No.185, Lane 155, Xinrong Rd, Xinqiaozhen, Songjiang district, Shanghai
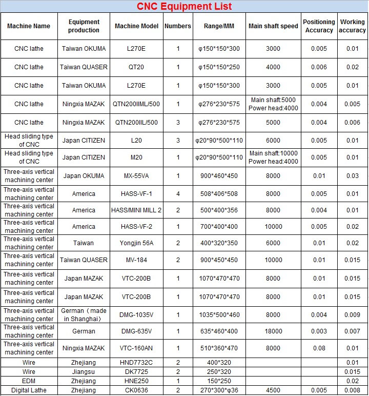
Main Equipment List
Location:Home >> About Us >> Main Equipment List



